Recently, the quantum information processing research team for bound systems from the Innovation Academy for Precision Measurement Science and Technology (APM), in collaboration with National University of Defense Technology and other institutions, relying on the ion-trap chip independently developed by APM, has for the first time experimentally observed the transition behavior between two types of exceptional points in non-Hermitian quantum systems. The research team has named them "Lindblad exceptional points", which simultaneously possess the properties of both second-order and third-order exceptional points. The research reveals that these two types of exceptional points can recombine to form hybrid Lindblad exceptional points, which move in the observable parameter space. This research not only expands the topological properties of quantum non-Hermitian systems, but also provides new ideas and means for quantum precision measurement. The relevant achievements have been published in Nature Communications.
Quantum exceptional points established on the basis of the Liouvillian matrix are called Liouvillian exceptional points. At this point, the eigenvalues and eigenstates of the non-Hermitian quantum system simultaneously collapse and degenerate, resulting in various novel physical properties around the exceptional point. Real quantum open systems are described by the Lindblad master equation that includes dissipation and decoherence processes. However, the existing experiments on Liouvillian exceptional points have only been established on dissipative physical processes, completely ignoring decoherence processes. The research team introduced decoherence processes into Liouvillian exceptional points for the first time. To distinguish the non-Hermitian phenomena caused by these two types of physical processes, the research team named them the Lindblad exceptional points based on dissipation and the Lindblad exceptional points based on decoherence, respectively.

(a) The movement of second-order Lindblad exceptional points; (b) The movement of third-order Lindblad exceptional points
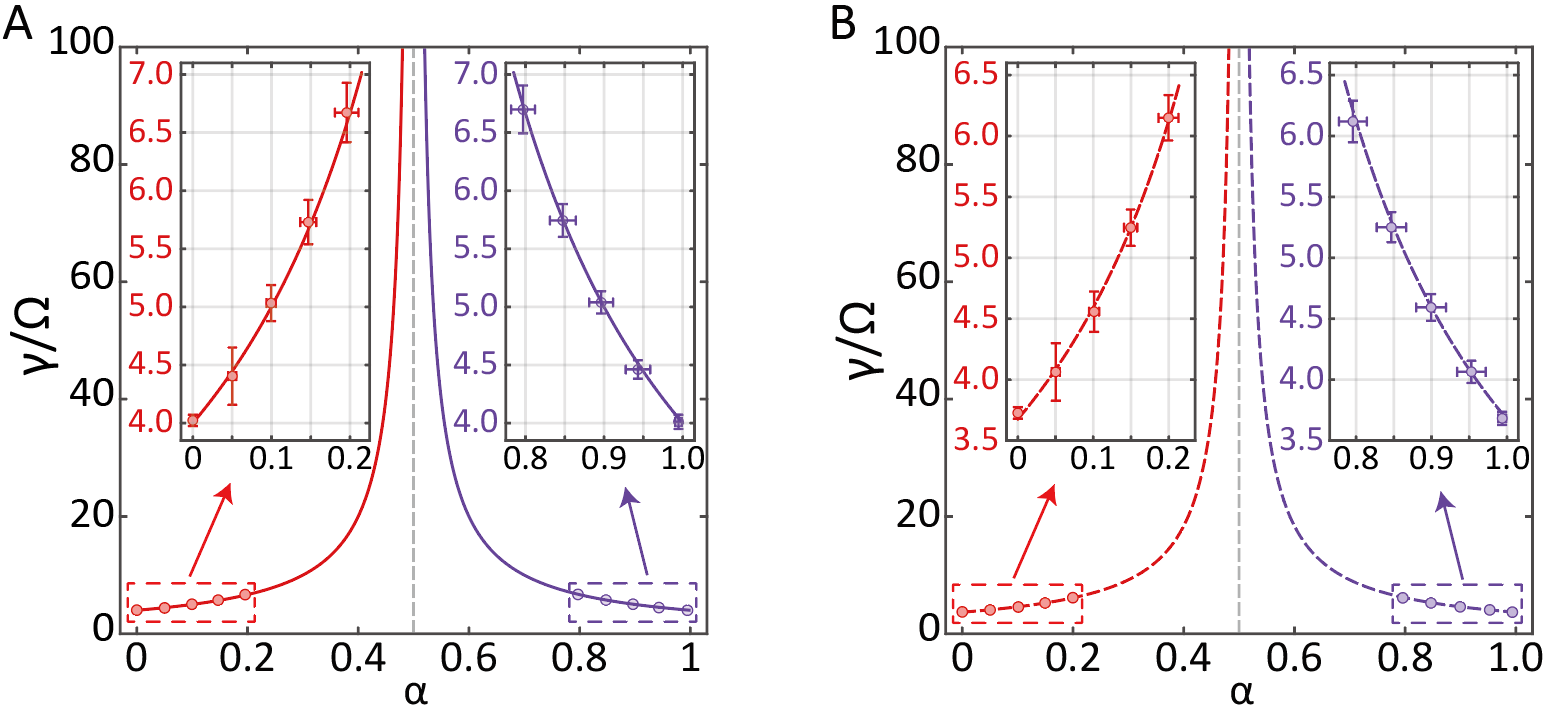
In this study, starting from the Lindblad exceptional points based on dissipation, researchers gradually reduce dissipation and enhance decoherence. The hybrid Lindblad exceptional points will continuously move in the direction where the total dissipation tends to infinity. When the intensities of dissipation and decoherence are equal, this hybrid Lindblad exceptional point will completely disappear into the infinite distance. As decoherence further takes the dominant position, the hybrid Lindblad exceptional point turns into the Lindblad exceptional point based on decoherence and moves back to the original parameter position. These phenomena originate from the non-commutativity between the two types of Liouvillian operators corresponding to pure dissipation and pure decoherence, revealing a deeper-level interaction between dissipation and decoherence in open quantum systems.
In addition, the researchers also observed that the higher-order exceptional points caused by the quantum jump effect likewise exhibited mobile characteristics. This higher-order exceptional point is a third-order exceptional point, formed by the intersection of two singular lines originating from second-order exceptional points. Its physical origin lies in the additional Hilbert space dimensions introduced by the quantum jump terms from the environment. This research achievement provides new technological pathways for precision measurement and quantum manipulation based on higher-order exceptional points, and opens up new avenues for regulating the topological properties and chiral dynamics of single-qubit systems.
The study, titled "Experimental Witness of Quantum Jump Induced High-Order Liouvillian Exceptional Points", was published in Nature Communications. Ph.D. students WU Zhuozhu and LI Peidong from APM are the co-first authors of this paper. Professor JING Hui from National University of Defense Technology, Associate Researchers CHEN Liang and ZHANG Jianqi, as well as Research Professor FENG Mang from APM are the co-corresponding authors.
This research was funded by the National Key Research and Development Program and the National Natural Science Foundation of China.
Link to the article: http://doi.org/10.1038/s41467-026-68705-9